您现在的位置:中考济南站 > 中考报考 > 中考政策 > 正文

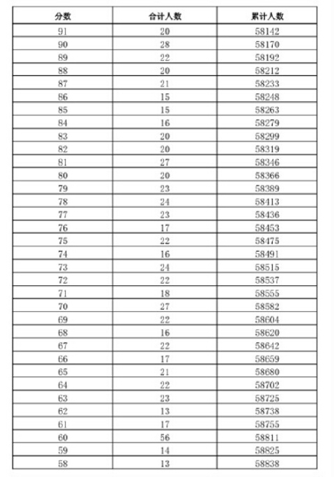
2015年济南市初中学考全市初中学校学生成绩一分一段表(15)

来源:中考网整理    作者:紫涵    2015-07-02 12:00:53

说两句

  • 2017年济南中考各科真题及答案汇总
    语文 数学 英语 物理 化学

       2023中考一路陪伴同行,百万名校真题直接下载!>>点击查看

    中考报考

    中考资讯

    中招政策

    志愿填报

    中考体育

    中考问答

    中考分数线

    中考备考

    中考真题

    中考一模

    中考二模

    中考作文

    中考复习

    中考专题

    重点高中

    济钢中学

    实验中学

    师大附中

    历城二中

    章丘七中

    历城四中

    初中试题库

    期中试题

    期末试题

    月考试题

    单元测试

    模拟试题

    中考压轴题

    工具大全

    中考报考时间

    中考分数线

    中考成绩查询

    中考满分作文

    中考志愿填报